基于改性木薯淀粉/聚乙烯醇:负载纤维素纳米晶稳定百里香精油皮克林乳液薄膜的制备及其特性
Preparation and properties of films loaded with cellulose nanocrystals stabilized Thymus vulgaris essential oil Pickering emulsion based on modified tapioca starch/polyvinyl alcohol
Food Chemistry
(中科院一区,JCR一区,IF=8.8)
1 研究背景
不可生物降解的石油基高分子塑料包装给环境带来了巨大隐患,而天然淀粉是自然界最广泛的聚合物之一,其价格低廉、可生物降解等特性使其成为石油基塑料的替代品。淀粉通常会与其他可生物降解聚合物混合,以改善物理特性。聚乙烯醇(PVA)是一种无毒、亲水的环保材料,将 PVA 与淀粉共混成为一种合理的选择。
提取自植物的精油(EOs),通常用作活性包装物质,以改善保质期和食品质量。但精油具有疏水性、挥发性和独特风味等特性,限制其在食品保鲜中的应用。固体颗粒纤维素纳米材料已广泛应用于食品生物学,主要分为纤维素纳米晶体(CNC)、纤维素纳米纤维(CNF)和细菌纳米纤维素(BNC)。目前,CNC已被证明是制备皮克林乳剂的有效材料并可用于改善薄膜性能。
百里香精油(TEVO)是一种天然、安全、无毒的植物次生代谢产物,研究表明,TEVO 因其酚类成分,尤其是百里酚和香芹酚,对多种细菌具有很好的抗菌效果。本文制备不同比例的 CNCs-TEVO 乳液并将其加入改性淀粉基薄膜中,分析了各复合薄膜的物理性质(厚度、机械性能、光学性能、水蒸气透过率)和结构性能(微观结构、X 射线衍射和 ATR-FTIR),以获得最佳的 CNCs-TEVO Pickering 乳液复合薄膜,并将此复合薄膜用于初步应用(鱼片贮藏)。
2 文章标题页详情

3 研究成果
3.1 内容简介
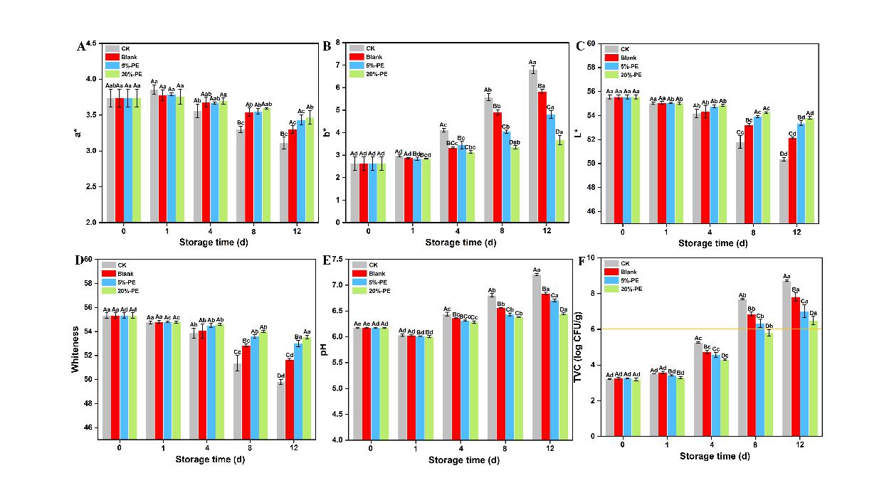
利用CNCs稳定百里香精油(TEVO),制备皮克林乳液,并将乳液装入改性木薯/聚乙烯醇(PVA)基薄膜中形成复合薄膜。结果表明,1.0% CNCs-15 % TEVO 乳液具有最佳的稳定性和较小的粒径。乳液以固体材料添加物的形式增加了复合薄膜的厚度(厚度,0.062-0.099 mm)。与空白薄膜相比,不透明性使复合薄膜具有更强的紫外线阻隔能力。乳液增塑效果提高了薄膜的断裂伸长率(EAB,123-159%)。此外,由于乳液的疏水性和对水分子扩散路径的影响,微观结构更致密的复合膜具有更低的水蒸气透过系数(WVP,6.22×10-11-5.35×10-11g∙cm/cm2∙s∙Pa),从而阻碍水分的渗透。同时,复合膜还能有效保持鱼片的色泽,抑制微生物的生长,延长鱼片的储存时间。
3.2 研究结论
通过在淀粉基薄膜中加入不同比例CNCs稳定的 TEVO 乳液,获得一系列复合薄膜。分析了不同乳液的特性、阻水性、结构特征、热学、光学和应用,并讨论复合薄膜的合成特性。乳液的粒径和电位结果显示,1.0% CNCs-15% TEVO 乳液的粒径最小,稳定性最佳。与空白薄膜相比,复合薄膜的厚度和断裂伸长率提高,但水蒸气透过系数和透光率降低,这有利于食品包装和延长食品保质期。然而,提高复合薄膜的机械性能还需要进一步研究。ART-FTIR、XRD 和 TGA 相互证实了乳液与聚合物分子的相互作用。此外,1.0% CNCs-15% TVEO 复合薄膜在储存期间对鱼片具有显著的护色和抗菌效果。因此,基于改性木薯淀粉/PVA负载CNCs-TEVO乳液的复合薄膜具有食品活性包装的潜力。

Figure 1. Pickering emulsion properties and characterization of emulsion composite film structure. (A) Particle size and (D) Zeta potential of Pickering emulsions prepared at different CNCs concentrations (0.2%-1.0%) and oil-to-water ratios (5%-20%). X-ray diffraction (B) and (C) and TGA images (E) and (F) of modified tapioca/PVA films of Pickering emulsions prepared at oil-water ratios (5%-20%) and different CNCs concentrations (0.2%-1.0%). Different uppercase letters (A-E) in the same TVEO proportion indicate significant differences (p < 0.05). Different lowercase letter (a-e) in the same CNCs concentration indicates significant differences (p < 0.05). The inset image represents the DTG curves for the corresponding thermograms.

Figure 2. Physical and mechanical properties of emulsion composite films. (A) Thickness, (B) tensile strength (TS), (C) elongation at break (EAB) and (D) water vapor transmission coefficient (WVP) of modified tapioca/PVA films loaded with TVEO-Pickering emulsion. Different uppercase letters (A-E) in the same TVEO proportion indicate significant differences (p < 0.05). Different lowercase letter (a-e) in the same CNCs concentration indicates significant differences (p < 0.05).

Figure 3. SEM images of modified tapioca/PVA films loaded with TVEO-Pickering emulsion: A-E are the surfaces of Blank, 0.2-5%, 0.2-15%, 1-5%, 1-15% films, respectively; a-e are Blank, 0.2-5%, 0.2 -15%, 1-5%, 1-15% film cross-section.

Figure 4. ATR-FTIR (A1-E1) and light transmission (A2-E2) images of modified tapioca/PVA films of Pickering emulsions prepared at different oil-to-water ratios (5%-20%) with different concentration CNCs (0.2%-1.0%).

Figure 5. Schematic diagram of the formation mechanism of modified tapioca starch/PVA films loaded with TVEO-Pickering emulsion.
Figure 6. Changes in the properties of fish fillets stored by emulsion composite films. (A-D) Redness, yellowness, brightness and whiteness of fish fillets, (E) Changes in pH of fish fillets, (F) Changes in total colony count of fish fillets. Different uppercase letters (A-E) in the same TVEO proportion indicate significant differences (p < 0.05). Different lowercase letter (a-e) in the same CNCs concentration indicates significant differences (p < 0.05).
4 专家简介

张建,博士,教授。主要从事水产品加工贮藏保鲜方面的研究工作,主持及参与国家自然科学基金“蛋白质氧化引起新疆高白鲑肌肉蛋白功能变化及其机理的研究”、“体外羟自由基氧条件下内源蛋白酶对高白鲑肌原纤维蛋白作用的研究”和“新疆冷水鱼抗冻蛋白的结构特性及抗冻机理的研究”项目等。近年来,以第一作者或通讯作者在Ultrasonics Sonochemistry、Food Chemistry、LWT-Food Science and Technology、International Journal of Food Science and Technology等国际学术刊物上发表文章20余篇。

郭欣,bat365在线中文官方网站研究生,主要研究方向为新疆特色冷水鱼蛋白氧化与凝胶性质的研究。
5 团队介绍
bat365在线中文官方网站营养与功能性食品研究方向主要围绕水产品理论与技术、功能食品工业化、有害物检测等领域开展科学研究,主要研究方向包括美拉德反应初期产物形成控制及健康食品创制研究、蛋白质氧化调控与产品品质提升技术研究、新疆特色动植物贮藏及加工过程中有益组分的营养及功能评价、有害组分的发生机制及调控检测方法、产品开发及副产物的综合利用等方面的研究等。
